Bootstrap

Lecture 18

Dr. Elijah Meyer

Duke University
STA 199 - Spring 2023

March 22nd, 2023

Checklist

– Clone ae-17

Announcements

– HW 4 coming today (due in 1 week)

– Lab 7 Due next Tuesday

– Project proposal feedback by Friday

– Peer Review Survey

Peer Review

– Each of you should have received an invite email (reach out to me if you did not)

– Due March 29th at 11:59

– Answers will be private

– Encouraged to have conversations with groupmates if things are not going well

Peer Review Purpose

– Accountability

– Part of your grade

Project

Feedback

– Feedback can be seen in **Issues* tab

– Expectation is to respond to feedback on data set you choose for your project

Issues

– See lab 7 on how to respond + close issues created by myself and lab leaders

– Project Draft Report is Due April 7th

Project Tips

– Own your work vs “that part wasn’t mine”

– Research Question

— Can you answer it?

– Introduction

— Do not copy + paste the description given on the website

— Do some digging

— Write a brief description of the observations.

— Address ethical concerns about the data, if any.

Project Highs

– Really impressed with mini literature review

– Creative + interesting research questions

– I look forward to what you do next!

Project Draft Report

– Introduction and data

– Methodology

– Results

– W+F

— update about section

— Respond to all issues from chosen data set

— Everyone is your group must have at least 3 commits

Where we are going

\(\checkmark\) Data Viz

\(\checkmark\) Probability

\(\checkmark\) Modeling Data

– Estimating population parameters (confidence intervals)

– Testing population parameters (hypothesis testing)

Goals

– Quick re-run through of ROC curves

– What is bootstrapping?

– What is a confidence interval?

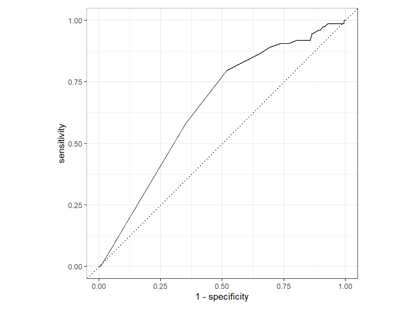
ROC Curves

Plot of a model’s true positive and false positive rates based on a testing data set

– Used for model evaluation (AUC)

– Can be used to help pick a threshold to make decisions

ROC Curve

ROC creation

AE-16

Predict spam based on number of exclamation points + winner

AUC ~ 0.650

Picking a threshold

email_pred |>
  roc_curve(
    truth = spam, 
    .pred_1, 
    event_level = "second" #a success
  ) 

Confidence Intervals

– are a range of plausible values that our population parameter could be

— and we almost always don’t actually know what this value is …. but we want to!

Confidence Intervals

By the end of class, we will

– know how to calculate confidence intervals using bootstrap methods

– understand what bootstrap methods are

– understand how the level of confidence influences our confidence interval

– understand how to interpret a confidence interval in the context of the problem

ae-17

In Summary

  • Bootstrap methods are simulation methods

  • Variability - Uncertainty: How spread out your data are

  • We can use this to guess plausible values around our parameter of interest

  • This is called a confidence interval, and it’s different than probability